Une sauce de base

La béchamel, c'est une des sauces de base de la cuisine française, qu'on retrouve dans une tripotée de recettes, son nom vient de Louis Béchameil qui fut maitre d’hôtel de Louis XIV.
La faire est assez simple : D'abord un "roux" mélange de farine et beurre, qu'on fait chauffer et colorer (d'où son nom).

Une fois le roux à la bonne couleur, on y ajoute du lait froid, le mélange est très liquide, et on continue de cuire en remuant sur feu doux jusqu'à épaississement (vous trouverez la
recette complète ici).
Mais pourquoi épaissit-elle ? Pas de magie là dedans vous vous en doutez bien, juste un peu de physique-chimie.
La farine et l'amidon
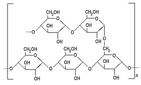
Tout le secret se trouve dans la farine du roux qui contient des grains d'amidon, un sucre complexe formé de molécules de glucoses enroulés sous forme de minuscules petites pelotes.

Lorsque vous ajoutez le lait au roux, et que vous faites chauffer, la température du mélange augmente progressivement.
C’est vers 70°C que la magie opère : Les grains d’amidon de la farine se brisent en grains plus petits, des molécules d'amidon qui commencent à absorber le lait autour d'elles, jusqu'à 20 fois leur volume, et augmentent ainsi la viscosité de la sauce, qui forme ainsi ce qu'on appelle un empois.
Ce processus est appelé la gélatinisation de l’amidon se produit entre 70°C et 85°C, donnant à la béchamel sa consistance épaisse et crémeuse caractéristique.
Notez au passage que ce processus gélatinisation de l'amidon est aussi à l’œuvre dans, entre autres, la
crème pâtissière ou le
flan, où la farine est souvent remplacée par de la
maïzena, de l'amidon de maïs.
En résumé : La béchamel épaissit parce qu'elle contient de la farine qui est chauffée, ce qui provoque l'éclatement de ses grains d'amidons, et ils vont absorber le lait autour d'eux.
La béchamel n'est donc pas seulement un classique culinaire, c'est aussi une petite leçon de chimie en action.